|
Статьи
ВАДЖРОЛИ-МУДРА:
СИНХРОНИЗАЦИЯ ВЕГЕТАТИВНЫХ РЕАКЦИЙ ПРИ ПРОЛОНГИРОВАННОМ ПОЛОВОМ АКТЕ
Минвалеев Р.С.
([email protected]),
Иванов А.И.
Всемирный университет развития науки,
образования и общества
(Москва)
www.profdiplom.ru.
ВСТУПЛЕНИЕ
Когда британские сексологи опубликовали в 2005 году многоцентровое исследование продолжительности полового акта у мужчин различных национальностей, то никого не удивило, что по их оценке среднее латентное время интравагинальной эякуляции (именно так это называется в оригинальной статье доктора медицины Марселя Волдингера [13]) оказалось самым длительным именно у британских мужчин, а самым коротким у турок. Нас удивило другое: само это время длилось в среднем 7,6 минуты у британцев, 7 минут у американцев, у испанцев – 5,8 минуты, у датчан – 5,1 минуты, и, наконец, у турецких мужчин почти совсем ничего – 3,7 минуты! Разумеется, это средние цифры, которые говорят только о том, что если один человек съел курицу, а другой ничего, то «в среднем» - оба съели по полкурицы. Но где вы встречали корректную статистическую обработку результатов измерений? Вопрос, что называется, риторический, но речь здесь пойдет не об этом. Суть в том, что в статье были приведены и исходные данные, из которых следовало, что у некоторых представителей мужского пола половой акт (т.е. латентное время интравагинальной эякуляции) длилось чуть больше 40 минут. В компании с мужчинами, страдающими преждевременной эякуляцией (полминуты «на всё про всё») они и образовали ту выборку, породившую те самые «минуты блаженства». Может быть, для многих женщин этого достаточно? И если достаточно, то достаточно для чего?
Для ответа на этот вопрос надо было как-то измерить и женщин, например, для того, чтобы объективно оценить то, что они называют вожделенным словом «оргазм». И вот тут придется говорить совсем о других критериях и требованиях, с которыми никакие «минуты латентного времени интравагинальной эякуляции» несопоставимы.
Чтобы не затягивать изложение сформулируем суть дела сразу. Вопрос в том, что происходит с женщиной и мужчиной, когда они «занимаются любовью» несколько часов подряд. Об этом известно многим, и в наше время это уже не только восточные сказки об индийских йогах или китайских «бессмертных», но и повседневная практика многих наших современников. Иными словами, есть ли объективная разница между пятиминутным половым актом среднестатистического мужчины, пока его партнерша «не кончит», и многочасовым коитусом, когда женщина испытывает многократные оргазмы, следующие один за другим? Или разница состоит только в продолжительности «латентного времени интравагинальной эякуляции»? Требовалась какая-то иная мера оценки, если мы хотим уйти от распространенной имитации научной деятельности под названием «концептуальные подходы». Попросту говоря нужны объективные цифры, а не бесконечное обсуждение очередной психологической, или этической, или еще какой-нибудь психоаналитической «концЭпции», ничем содержательно не отличающейся от извечного вопроса «любит – не любит».
А что, вообще, возможно измерить у лежащего тела так, чтобы минимально повлиять на сам процесс? Первое, что напрашивается, так это артериальное давление и пульс! При всей простоте этих измерений (выполняемых обычным электронным тонометром), мы выяснили, что до нас этим практически никто не занимался. Известно было только, что в момент оргазма артериальное давление и пульс возрастали как и при обычной физической нагрузке, что само по себе не несло в себе ничего неожиданного. Наши опыты выявили нечто совершенно иное… Но не будем забегать вперед и постараемся описать всё по порядку, с соблюдением известных особенностей научного стиля изложения. Концепции пусть сочиняют другие... Мы – один физиолог, другой математик, а потому занимаемся только измерениями…
В продолжение наших исследований специфических практик хатха-йоги, опубликованных в [1–4], в предлагаемой работе излагаются новые результаты исследований йогической практики ваджроли мудры, дополняющие ранее опубликованные в [5].
Рис.1 Будда Самантабхадра в позе Яб Юм
Ваджроли мудра представляет собой специфический способ практически неограниченного пролонгирования гетеросексуального полового акта путем центрального торможения рефлекса эякуляции. Заинтересованный читатель может ознакомиться с описанием техники ваджроли-мудры в опубликованных переводах средневековых трактатов по йоге, прежде всего, в «Хатха-йога-прадипике» [6] .
Особо следует оговорить, что мы не рассматривали варианты ваджроли-мудры вне коитальной реализации с использованием уретрального катетера и проч. Отсылаем заинтересованного читателя к работе [7]
Цели исследования:
1) Инструментально-количественная оценка реактивности вегетативной нервной системы как ведущего регулятора обеспечения висцеральной деятельности при практике ваджроли мудры у мужчин и у женщин одновременно.
2) Количественная оценка связи между изменением вегетативного тонуса, измеренным одновременно у обоих участников гетеросексуального акта на фоне практики ваджроли мудры.
МАТЕРИАЛЫ И МЕТОДЫ
Исследование выполнено на отобранной группе из 4 мужчин, практикующих хатха-йогу и в совершенстве владеющих техникой ваджроли мудры. Для отбора в женскую группу привлекались молодые здоровые женщины, не страдающие синдромом постоянной или преходящей аноргазмии. В рамках этой работы мы обследовали 10 женщин в возрасте от 18 до 36 лет, обладающих выраженной способностью к множественным оргазмам в условиях контрольно-измерительных опытов. Все участницы данного эксперимента обладали профессиональными навыками в использовании медицинской контрольно-измерительной аппаратуры.
В качестве меры оценки тонуса вегетативной нервной системы использован вегетативный индекс Кердо [8] V.I., определяемый через аналитическое выражение
(1)
где x – диастолическое давление крови (мм. рт. ст.), z – число ударов пульса в 1 мин .
В целях удобства изложения мы удалили из формулы неинформативный коэффициент 100, который только усложняет последующую математическую обработку результатов измерений.
Известно, что при значениях V.I. < 0 актуальная вегетативная реактивность организма характеризуется как парасимпатикотония, при V.I. > 0 - как симпатикотония, при V.I. = 0 - вегетативное равновесие (эутония).
В качестве контрольно-измерительного устройства использован автоматический электронный тонометр фирмы A&D UA–767 PC (Япония), измеряющего осциллометрическим методом точечные значения систолического и диастолического давления, а также количество ударов пульса в 1 минуту.
Обследования испытуемых проводились при половых актах в привычной обстановке с применением техники ваджроли мудры. Измерение диастолического давления и сердечного ритма с последующим вычислением индекса Кердо по формуле (1) осуществлялись в режиме реального времени до полового акта, во время фрикционной стадии через 1 мин после интроекции и далее с интервалами ок. 1–2 мин. Всего число измерений за один половой акт в среднем составляло 80 на каждого участника. Особо выделялись точечные значения систолического и диастолического артериального давления и сердечного ритма во время женских оргастических разрядов.
Все измерения проводились под контролем присутствовавшего во время экспериментов врача.
РЕЗУЛЬТАТЫ И ИХ ОБСУЖДЕНИЕ
В ходе выполнения экспериментов у разных испытуемых были зафиксированы значительные изменения систолического и диастолического давления и частоты сердечных сокращений. Наибольшее из зафиксированных значений систолического давления (АДс) было равно 280 мм рт. ст., наименьшее – 50 мм рт. ст. Наибольшее зафиксированное значений диастолического давления (АДд) – 254 мм рт. ст., наименьшее – 26 мм рт. ст. Наибольшая частота сердечных сокращений (ЧСС) в мин. – 160, наименьшее – 18 ударов сердца в минуту. Кроме того, у разных испытуемых в разные временные моменты коитуса с применением техники ваджроли мудры были зафиксированы противоположные реакции сердечно-сосудистой системы: в одних случаях диастолическое давление падало до 25 мм рт. ст. и при этом частота сердечных сокращений поднималась до 160 ударов в минуту (тахикардиальный компонент барорефлекса по [8]), в других - диастолическое давление поднималось до 254 мм рт. ст., а частота сердечных сокращений падала до 18 уд/мин (кардиовагальный компонент барорефлекса по [8]).
Вычисленные применением формулы (1) значения индекса Кердо доказывают, что в одних случаях значения индекса доходят до +0.81, что свидетельствует о значительном преобладании влияний симпатического отдела вегетативной нервной системы (по И. Кердо - симпатикотонии [9]), в других случаях значения индекса Кердо достигали –13 и ниже, что свидетельствует о преобладании влияний парасимпатического отдела вегетативной нервной системы (по И. Кердо - парасимпатикотонии [9]). Отметим, что в доступной нам литературе по вегетативным реакциям организма человека мы не встречали случаев, в которых были бы зарегистрированы столь низкие отрицательные значения индекса Кердо. Возможность регистрации у человека столь низких отрицательных значений индекса Кердо была предсказана нами в предыдущих работах и опубликована в [5]. В интересах читателя напомним один из наших результатов, найденный А.И. Ивановым и опубликованный в [5]: "Положительные значения вегетативного индекса V ограничены и не могут превосходить числа +1, тогда как отрицательные значения индекса V не ограничены снизу и могут принимать сколь угодно большие отрицательные значения".
Общеизвестно, что активация симпатического отдела вегетативной нервной системы характеризуется преобладанием энергозатратных процессов (эрготропные реакции), тогда как активация парасимпатического отдела ведет к процессам восстановления и накопления энергии (трофотропные реакции). Упомянутое регуляторное свойство вегетативной нервной системы доказывает правомерность применения термодинамических оценок при исследовании энергетического баланса организма человека как динамической системы. Научная обоснованность такого подхода известна и доказана в работах [10], [5] и др.
В целях полноты изложения в таблице 1 размещены результаты измерений численных характеристик кровообращения, ЧСС и индексов Кердо у испытуемой девушки У.Н. (25 лет), а в таблице 2 размещены результаты одновременных измерений тех же характеристик у испытуемого мужчины Р.М. (39 лет) во время полового акта на фоне практики ваджроли мудры. Кусочно-линейная графическая интерпретация изменений вегетативного индекса у обоих испытуемых (У.Н. и Р.М.) на всем протяжении коитуса в виде представлена на рис.2.
ТАБЛИЦА 1
ЗНАЧЕНИЯ ХАРАКТЕРИСТИК КРОВООБРАЩЕНИЯ И ИНДЕКСА КЕРДО
у испытуемой У.Н. (25 лет)
| Время в мин |
0 |
12 |
13 |
14 |
15 |
16 |
17 |
18 |
19 |
20 |
23 |
25 |
28 |
30 |
31 |
32 |
33 |
34 |
35 |
36 |
37 |
38 |
39 |
40 |
| САД |
136 |
80 |
- |
- |
98 |
95 |
- |
- |
- |
68 |
- |
50 |
- |
50 |
253 |
228 |
238 |
220 |
198 |
220 |
215 |
247 |
263 |
244 |
| ДАД |
73 |
63 |
- |
- |
47 |
57 |
- |
- |
- |
26 |
- |
29 |
- |
34 |
200 |
167 |
196 |
201 |
186 |
201 |
195 |
207 |
206 |
200 |
| ЧСС |
87 |
137 |
- |
- |
137 |
123 |
- |
- |
- |
96 |
- |
98 |
- |
128 |
100 |
76 |
77 |
66 |
52 |
49 |
44 |
45 |
43 |
40 |
| V.I. |
0.16 |
0.54 |
- |
- |
0.66 |
0.54 |
- |
- |
- |
0.73 |
- |
0.7 |
- |
0.73 |
-1.0 |
-1.2 |
-1.55 |
-2.0 |
-2.58 |
-3.1 |
-3.43 |
-3.6 |
-3.8 |
-4.0 |

Рис.2. Кусочно-линейная графическая интерпретация изменений вегетативного индекса у обоих испытуемых (У.Н. и Р.М.) на начальной фазе пролонгированного коитуса на фоне ваджроли мудры.
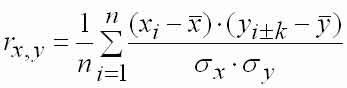
Для нахождения связи между изменениями вегетативного тонуса у каждой пары участников эксперимента мы вычислили точечную оценку коэффициента линейной корреляции rх,у между индексами Кердо с применением индивидуально найденного лага запаздывания по известному аналитическому выражению

где xi, yi – результаты измерений; n – число одновременных измерений, k – лаг запаздывания, ?x , ?y – среднеквадратические отклонения xi, yi .В данном случае, вычисленное значение коэффициента линейной корреляции rх,у между индексами Кердо с применением индивидуально найденного лага запаздывания оказалось равно + 0.89.
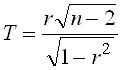
Проверим гипотезу при альтернативной гипотезе H1: r ? 0 о значимости найденного значения коэффициента корреляции r = 0.89 применением критерия Стьюдента. Вычислив величину T применением формулы

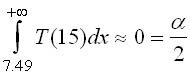
где n = 17 – количество элементов в выборке (выбраны только замеры, выполненные одновременно у обоих партнеров), находим, что Т = 7.49. Обозначим через Т(k) плотность распределения Стьюдента, где k – число степеней свободы. В нашем случае k = 17 – 2 = 15. Выполнив интегрирование находим

Из чего следует, что значение уровня значимости ? ? 2•0 = 0. Следовательно отвергая гипотезу H0: r = 0 мы совершим ошибку первого рода с вероятностью ? = 0. Иными словами, доказано, что в данном случае r ? 0 с надежностью ? ? 1 0 ? 1. Адекватность найденного результата подтверждается тем, что при статистической проверке гипотез H0: r = 0 и H1: r ? 0 нами вычислен фактически достигаемый уровень значимости ?, который оказался практически равным 0.
Найденный результат – коэффициент корреляции r = 0.89 при надежности ? ? 1 – подтверждает наше предположение о том, что в течение коитуса у партнеров происходит синхронизация ритмов вегетативного тонуса. При этом синхронизация изменений вегетативного индекса наблюдалась у всех наших испытуемых во время пролонгированного полового акта с применением техники ваджроли мудры. А именно, оказалось, что вычисленное с использованием результатов измерений значения коэффициентов линейной корреляции r между индексами Кердо попарно у всех участников пролонгированного коитуса оказались распределенным в интервале от + 0.86 до + 0.95 (Всего 35 эпизодов).
Сформулируем заключение: доказано, что с уменьшением значения вегетативного индекса V.I. у одного партнера происходит синхронное уменьшение значения вегетативного индекса и у другого партнера. Принимая во внимание относительно большое значение коэффициентов корреляции и высокую надежность результатов статистической проверки принятой гипотезы о коэффициенте корреляции, можно говорить о том, что нами доказано наличие глубокой положительной обратной связи между значениями термодинамических характеристик исследованных динамических систем. А именно: доказано, что пролонгированный коитус на фоне ваджроли мудры выполняет роль функции управления, переводящей систему из режима расхода энергии в режим интенсивного восстановления. Найденный результат является основанием для предположения о том, что описывающие пролонгированный коитус дифференциальные уравнения (подробнее см. в [5]) имеют устойчивые по А.М. Ляпунову и ассимптотически устойчивые решения. С позиций развиваемой нами теории управления человеческим организмом найденные результаты подтверждают результаты теорем В.И. Зубова о том, что «устойчивые системы являются плохо управляемыми или, точнее, для управления ими требуются большие энергетические затраты» [11, с. 333]. По нашему мнению применением результатов теории управления В.И. Зубова можно доказать повышение управляемости организма в процессе пролонгированного полового акта.
В доступной литературе нами не найдено примеров такого рода физиологических реакций сердечно-сосудистой системы в ответ на какие-либо воздействия. Особый интерес вызывает тот факт, что наблюдаемый нами во время оргастических разрядок у испытуемых женщин (и синхронно у их партнеров – мужчин) размах характеристик сердечно-сосудистой системы и ее вегетативного обеспечения с медицинской точки зрения соответствует достаточно опасным, практически терминальным состояниям, например, гипертоническому кризу (АДс = 280 мм. рт. ст., АДд = 254 мм. рт. ст.), или, с другой стороны, гемодинамическому инсульту (АДс = 50 мм. рт. ст., АДд = 29 мм. рт. ст.). Особо следует оговорить, что зарегистрированные экстремальные значения артериального давления и частоты сокращений сердца не имели каких-либо патологических последствий для здоровья испытуемых, что подтверждалось квалифицированными заключениями врача-кардиолога на основании снятых стандартных электрокардиограмм до и после опытов.
Физиологическая интерпретация найденного результата требует дополнительных, прежде всего, гормональных исследований, а пока предварительно мы оцениваем найденные результаты как естественнонаучное выражение особых состояний человеческого организма во время сексуальной активности, которые принято описывать такими психологическими терминами как «единение», «слияние», «гармония» и т. п. В наших опытах эти неопределяемые понятия нашли свое количественное выражение в виде зафиксированной синхронизации ритмов вегетативного тонуса у обоих участников пролонгированного гетеросексуального полового акта с применением техники ваджроли мудры. Найденные результаты позволяют подвергнуть существенному пересмотру нормативные характеристики половой активности человека, принятые в современной сексологии [12, 13].
Интерес представляют также психологические последствия найденных нами двух типов вегетативной реактивности во время пролонгированного полового акта. Вегетативное обеспечение оргиастических разрядок у женщин (и вслед за ними у мужчин) может идти по симпатическому и/или парасимпатическому типу. В случае преобладания симпатических влияний (тахикардия на фоне диастолической гипотонии) женщина чувствует себя после интимной близости «уставшей», «утомленной», что является результатом преобладания эрготропных (энергозатратных) процессов. Она «поработала» (т. е. затратила «энергию») и для нее характерно потребительское отношение к своему половому партнеру, который во внеинтимных ситуациях оказывается ее «вечным должником». Наоборот, в случае преобладания парасимпатических влияний (брадикардия на фоне диастолической гипертонии) женщина после коитуса чувствует «прилив сил», «избыток энергии», как результат преобладания трофотропных (энергонакопительных) процессов. Она готова «делиться» этим «избытком» со своим избранником вплоть до полной самоотдачи.
Обсудить статью на форуме >>

|